Here, you will find the suggested solutions to the O Level Add Math Specimen Paper 2. The specimen paper can be downloaded from the Singapore Examinations and Assessment Board (SEAB) website. The link to specimen paper 2 can be found here.
Question 1: Partial Fractions
This question is on partial fractions. As the fraction given is an improper one, students are expected to make it into proper fractions before decomposing the fraction into partial fractions.
Question 2: Linear Law
This question is on linear law where a non-linear relationship between x and y are given, and students are expected to convert it into a linear relationship. Plotting of graph is also required to find the gradient which is in turn used to find the value of a constant.
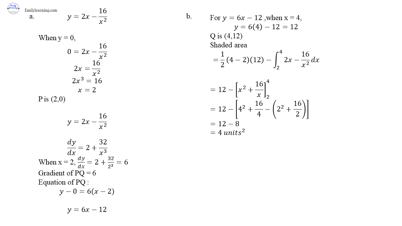
Question 3: Application of differentiation (finding tangent) and integration (finding area)
The first part of the question involves using differentiation to find the equation of tangent. In part (b), students are expected to find area of the shaded region using integration.
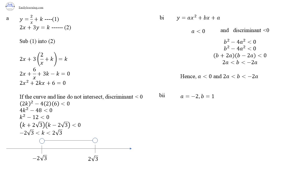
Question 4: Quadratic Functions
This question tests the concepts learnt in the chapter on quadratic functions. In particular, students are tested on applying discriminant and solving quadratic inequalities.
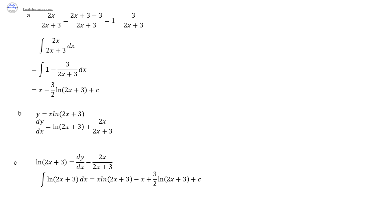
Question 5: Differentiation and Integration
This question involves differentiation using the product rule, and also the application of integration as a reverse of differentiation.
Question 6: Trigonometry (R- formula)
This question is specifically on using R formula. A very typical O level question involving R- formula, where you are first asked to show an expression and then asked to use R- formula to simplify the expression. Finally, using the R- formula expression, you are asked to solve an equation (sometimes, you will be asked to find maximum or minimum value).

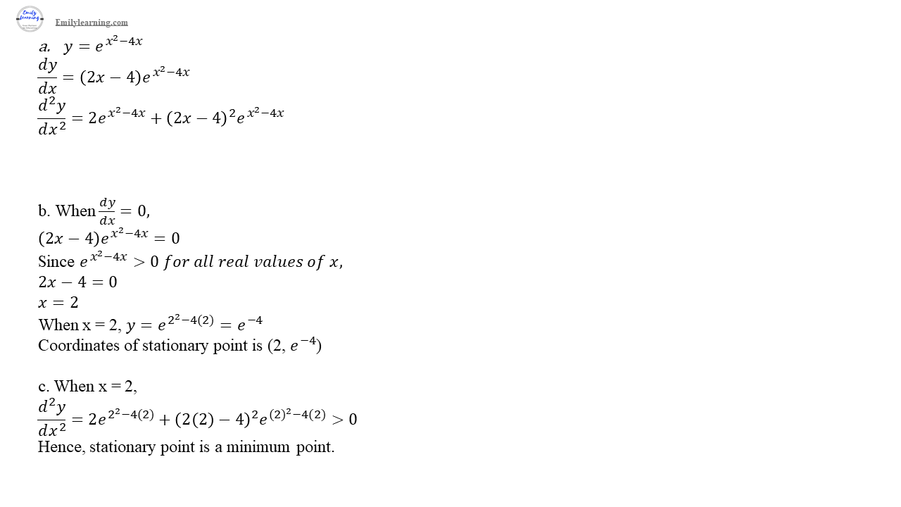
Question 7: Differentiation of exponential functions, and applying differentiation to finding stationary points
This is a question on differentiation. Differentiation is a big topic in O Level Additional Mathematics, so you see many different types of questions on differentiation in the paper. In this question, students are tested on differentiating exponential functions, and applying differentiation to solving questions involving stationary points (maximum, minimum or point of inflexion).
Question 8: Coordinate Geometry
In this question, concepts from the chapter on coordinate geometry are tested. Students are asked to find the perpendicular bisector of 2 points and also questions involving circles in coordinate geometry.

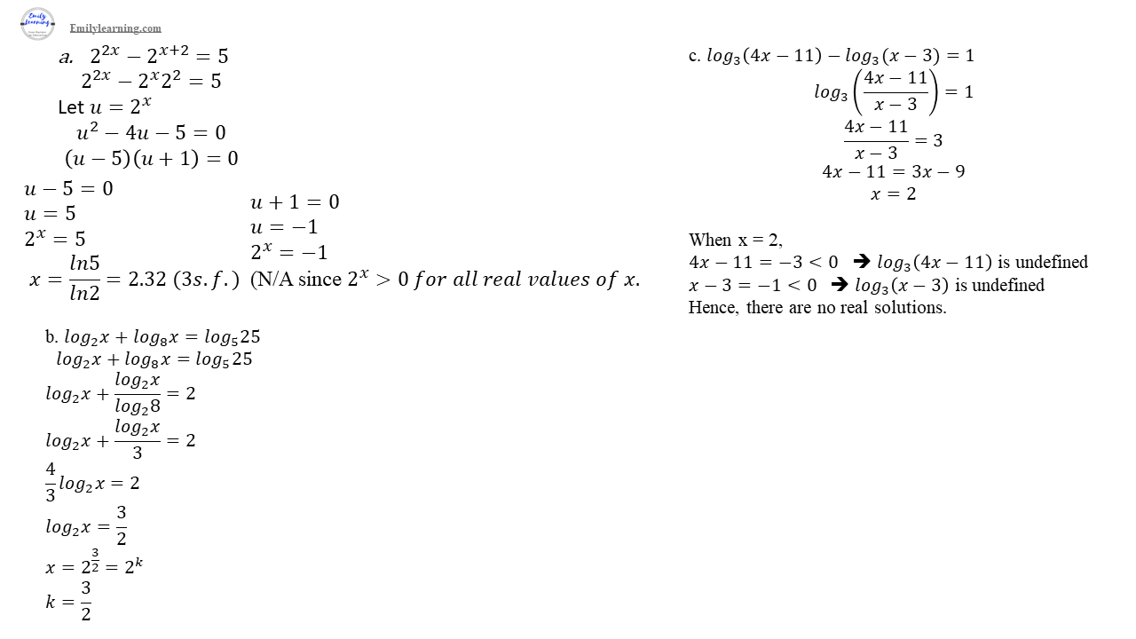
Question 9: Solving equations involving exponential and logarithmic functions
In this question, students are asked to solve questions involving exponential and logarithmic functions.
Learn On-demand – A- Math Courses
If you want to learn a particular topic in detail, check out ourĀ on-demand O Level A Math courses here.
Suggested Answers for other A Math Papers:
Suggested Answers for O Level Add Math Specimen Paper 1
Suggested Answers for O Level Add Math Specimen Paper 2
Suggested Answers for O Level Add Math 2020 Paper 1
Suggested Answers for O Level Add Math 2020 Paper 2
Suggested Answers for O Level Add Math 2019 Paper 1
Suggested Answers for O Level Add Math 2019 Paper 2